Multiple Choice Identify the
choice that best completes the statement or answers the question.
|
|
|
1.
|
Given each diagram, find the length of each bar 
|
|
|
2.
|
Given each diagram, find the length of each bar 
|
|
|
3.
|
Given each diagram, find the length of each bar 
|
|
|
4.
|
Given each diagram, find the length of each bar 
|
|
|
5.
|
Given each diagram, find the length of each bar 
|
|
|
6.
|
Given each diagram, find the length of each bar 
|
|
|
7.
|
Given each equation, solve for the value of “x”. Write your
answer as a fraction if required 
|
|
|
8.
|
Solve for the value “x”. Write your answer as a fraction if
required 
|
|
|
9.
|
Given each equation, solve for the value of “x”. Write your
answer as a fraction if required: 
|
|
|
10.
|
Given each equation, solve for the value of “x”. Write your
answer as a fraction if required: 
|
|
|
11.
|
90% of all Eric’s friends are in grade 8. If he has 27 friends in
grade 8, how many friends does he have altogether?
|
|
|
12.
|
Nancy can cut 30% of her lawn in 2.5 hours. How many hours does she need
to cut the entire lawn?
|
|
|
13.
|
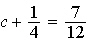
Solve the following equations: 
|
|
|
14.
|
Kayla worked 195.5 days on her job and completed 97.75% of her contract.
How many more days does she need to work to complete her work?
|
|
|
15.
|
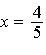
Solve the following equations: 
|
Numeric Response
|
|
|
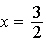
16.
|
Solve 
|
|
|
17.
|
Solve. 
|
|
|
18.
|
Solve. 
|
|
|
19.
|
Solve. 
|