Chapter 12 image
CHAPTERS 12 and 13 — Comparing Two Populations Means or Proportions

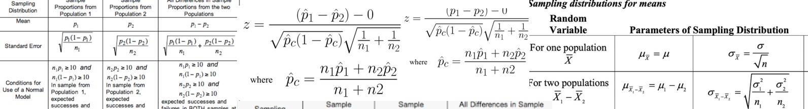
This unit covers the essential foundations of statistical inference, focusing on Inference for Proportions (Chapter 12) and Inference for Means (Chapter 13). Students will learn how to use sample data to make formal conclusions about entire populations.

Key topics include constructing and interpreting Confidence Intervals to estimate unknown parameters and performing Significance Tests (Hypothesis Testing) to evaluate claims. Students will master the four-step process: State, Plan, Do, Conclude.

We emphasize checking vital conditions for inference, including Randomness, the 10% Condition, and Normality (Large Counts for proportions and the Central Limit Theorem/t-distribution for means). Understanding the P-value, Type I and Type II errors, and Power is critical for success in these chapters.